image
image
image
로그인해주세요.
선생님 찾기
image
선생님 목록
선생님 랭킹
학생 찾기
김과외 회원혜택
image
김과외 멤버십 혜택
레어이벤트 응모
캐시백
커뮤니티
image
멘토링
선생님들에게
학생 광장
대학 합격사례
학습자료 찾기
학원강사 찾기
image
김과외 안전지원센터
NEW
안전한 과외장소 찾기
고객센터
카카오톡 플러스 친구
KimLogo_Small_With_SymbolKimLogo_Small_With_Symbol
·
image
image
image
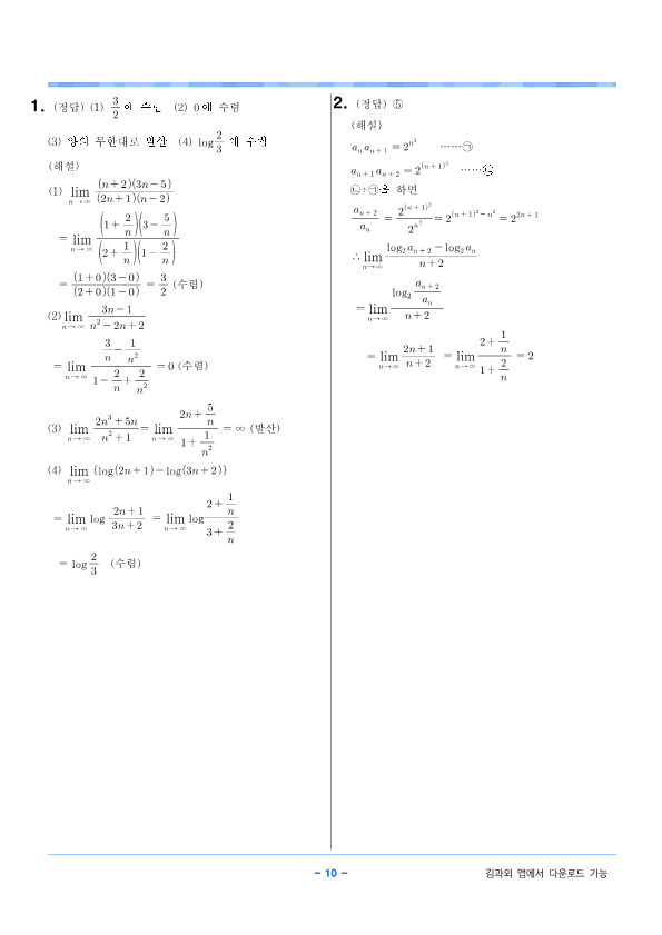
교과서/문제집별 변형 문제
미적분_수학의정석_수열의 극한(7p~21p) 쌍둥이 문제 2배수
image1
image2
image
메타수학
image
25 페이지
image
5
2회 다운로드
image
멤버십전용image
image
메타수학
image
25 페이지
image
5
2회 다운로드
image
멤버십전용image
상세설명
미적분 과목 수학의 정석(기본) 수열의 극한 단원 7p~21p의 쌍둥이 문제 2배수 50문항 입니다.

무료자료보다 더 많은 쌍둥이 2배수 문항을 제공해요!


혹시 문제집은 샀는데, 첫 단원만 풀고 다시 안풀고 있진 않나요? 문제집 한 권을 끝까지 푼다는 것은 생각보다 어려운 일이에요 :)


그럴 땐 이 자료로 공부해보세요. 내가 부족한 단원만 골라서 충분히 문제를 풀어볼 수 있어요! 더 효율적으로 공부할 수 있답니다 :)


그리고 교과서 개념학습, 문제풀이를 끝낸 후 풀어보시면 효과 만점이실 거예요 :)
자료 이용안내
김과외에서 제공하는 모든 자료는 저작권의 보호를 받고 있습니다. 상업적인 용도, 무단 복제, 배포 및 도용을 엄격히 금지하고 있음을 알려드립니다.
회사소개
이용약관
개인정보 처리방침
image
주식회사 플레이스5
대표이사 김재용
서울특별시 강남구 테헤란로 129 8층
사업자등록번호 261-81-15408
통신판매업신고 제2020-서울강남-01248호
주식회사 플레이스5
대표이사 김재용
서울특별시 강남구 테헤란로 129 8층사업자등록번호 261-81-15408통신판매업신고 제2020-서울강남-01248호
고객센터
김과외 고객센터는 카카오톡으로 운영 중입니다.
평일(월~금) : 10:00~17:00 주말(토요일) : 13:00~17:00 (일요일, 공휴일 제외)
help@place5.com
평일(월~금) : 10:00~17:00
주말(토요일) : 13:00~17:00 (일요일, 공휴일 제외)
help@place5.com
App Download
imageimage
SNS
imageimageimageimage
image
ISO 9001 / ISO 14001 인증
품질경영시스템 / 환경관리시스템 인증 획득